DoG-derived chimera RNAs
A chimeraRNA is produced by Cis-Splicing between Adjacent Genes (cis-SAGe) when RNA polymerase II skips the stop signals, generating a read-through pre-transcript of two neighboring genes (Fig. 1). It is estimated that ~5% of the tandem gene pairs in the human genome can be transcribed into single precursor RNAs and eventually spliced into chimeric RNAs.

Figure 1. ChimeraRNA. A precursor RNA transcript is produced by transcriptional read-through between two neighboring genes on the same strand and in the same transcriptional orientation, which is then spliced into a chimeraRNA[1].
ChimeraRNA tend to share some common characteristics: (1) The parental genes are neighboring genes on the same chromosome and in the same transcriptional direction; (2) The 5’ parental gene is actively transcribed; (3) The intergenic distance between the parental genes is within 30kb; (4) The junction site of the chimera tends to be 5’ parental gene’s penultimate exon fused to 3’ parental gene’s second exon, which is called the 2-2 rule; and (5) The chimera tends to use the canonical splicing site with the edges of exons spliced together[2].
Chimeric RNAs are present in both cancer and normal physiology, although they can be misregulated and inappropriately expressed in cancer. For instance, SLC45A3-ELK4 is expressed significantly higher in prostate cancer compared with matched normal prostate samples [3]. CHFR-GOLGA3 has been detected with a higher frequency in bladder cancer than normal bladder tissues[4]. e1e2 form of SLC45A3-ELK4 chimera RNA in prostate cancer cells is generated by cis-splicing of adjacent gene read-through in the absence of corresponding DNA rearrangement. The binding of CCCTC-binding factor (CTCF) to the insulator sequences inversely correlates with the expression of the chimera transcript. SLC45A3-ELK4 controls prostate cancer cell proliferation, with its level correlates with prostate cancer progression[2, 5, 6].
SLC45A3-ELK4 functions as a long non-coding RNA
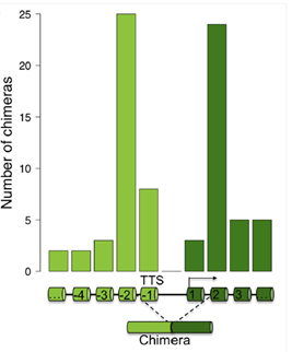
SLC45A3-ELK4 encodes the same protein as ELK4. Intriguingly, the fusion RNA level is less than 1% of wild type ELK4, which is unlikely to perturb the general pool of ELK4 protein. Nonetheless, when the fusion RNA, but not ELK4, is silenced, cell proliferation is inhibited in both androgen-dependent and castration-resistant prostate cancer cells. This growth arrest can be rescued by exogenous expression of the fusion and a mutant designed to prevent translation of the ELK4 protein. In the same setting, the mutant could also suppress CDKN1A and several other targets of SLC45A3-ELK4. In addition, similar to many long non-coding RNAs, the fusion RNA is enriched in the nuclear fraction. Altogether, these results indicate that SLC45A3-ELK4 regulates cancer cell proliferation by its RNA transcript, not by its translated protein[7]. In the absence of transcription termination, the terminal 3’ss of the upstream gene is evicted and the terminal 5’ss will splice together with the first 3’ss of the downstream gene, which emerges from the nascent transcript once RNAPII reaches the second exon (Fig. 2).

Figure 2. Number of read-through RNA chimeras formed by intergenic splicing between the represented exons.
A remarkable feature of RNA chimeras is that some are recurrently detected in different tumor samples. For example, CTSC-RAB38 is detected in 20% of the TCGA samples but not in any matched normal sample[8]. The chimera RNA in ccRCC cell lines can be validated by qPCR with RNAi knockdown (Fig.3).

Figure 3. CTSC-RAB38 chimeraRNA locus depicting the siRNAs targeting CTSC, RAB38, and chimeric CTSC-RAB38 transcripts. These transcripts are quantified by the qPCR primers. The dashed curve represents the splicing that creates the chimeraRNA. (B) Relative CTSC-RAB38 chimeraRNA expression after RNAi knockdowns in CTSC, RAB38, and CTSC-RAB38 regions in three distinct ccRCC cell lines FG2, MF, and ER. *p<0.05 by T-test compared to controls[8].
DoG-derived circular RNAs
Readthrough Transcription Can Be Exploited to Generate Circular RNAs from Downstream Regions
Circular RNAs can be efficiently generated from read-through transcription. Once both flanking inverted repeats are transcribed, backsplicing can occur, thereby physically forming the RNA circle and separating from the nascent transcript(Fig. 4)[9]. For example, MATR3-PAIP2 read-through transcription produces circPAIP2 from the downstream gene PAIP2 (Fig. 4)[9].

Figure 4. Read-through transcription of MATR3-PAIP2 results in circPAIP2 production from backsplicing of the exons 3 to 2 of the downstream PAIP2[9].
Read-through circular RNAs(rt-circRNAs )
Recently, a new type of circRNA was discovered and called read-through circRNAs (rt-circRNAs)(Fig. 5). They are hybrid circular RNAs that include coding exons from two adjacent and similarly oriented genes. Vo and col. described 1,359 human rt-circRNAs[10].

Figure 5. Biogenesis of rt-circRNAs. Read-through transcription results in the formation of hybrid circRNAs (rt-circRNAs) that include coding exons from two adjacent and similarly oriented genes. Circularization process is mediated by base-pairing between long introns that harbor repetitive sequences[11].
Related Service
Downstream-of-Gene Transcript (DoG RNA) Array Service
Related Reviews
DoG RNAs Modulate Gene Rranscription in Diseases
DoG-derived Chimera RNAs and Circular RNAs in Cancers and Diseases
Epigenetic and Epitranscriptomic Regulation of DoG RNAs
References
1. Shi X, Singh S, Lin E, Li H: Chimeric RNAs in cancer. Adv Clin Chem 2021, 100:1-35.[PMID: 33453863]
2. Qin F et al: Discovery of CTCF-sensitive Cis-spliced fusion RNAs between adjacent genes in human prostate cells. PLoS Genet 2015, 11(2):e1005001.[PMID: 25658338]
3. Rickman DS et al: SLC45A3-ELK4 is a novel and frequent erythroblast transformation-specific fusion transcript in prostate cancer. Cancer Res 2009, 69(7):2734-2738.[PMID: 19293179]
4. Zhu D et al: The landscape of chimeric RNAs in bladder urothelial carcinoma. Int J Biochem Cell Biol 2019, 110:50-58.[PMID: 30818082]
5. Zhang Y et al: Chimeric transcript generated by cis-splicing of adjacent genes regulates prostate cancer cell proliferation. Cancer Discov 2012, 2(7):598-607.[PMID: 22719019]
6. Kumar-Sinha C, Kalyana-Sundaram S, Chinnaiyan AM: SLC45A3-ELK4 chimera in prostate cancer: spotlight on cis-splicing. Cancer Discov 2012, 2(7):582-585.[PMID: 22787087]
7. Qin F, Zhang Y, Liu J, Li H: SLC45A3-ELK4 functions as a long non-coding chimeric RNA. Cancer Lett 2017, 404:53-61.[PMID: 28716526]
8. Grosso AR et al: Pervasive transcription read-through promotes aberrant expression of oncogenes and RNA chimeras in renal carcinoma. Elife 2015, 4.[PMID: 26575290]
9. Liang D et al: The Output of Protein-Coding Genes Shifts to Circular RNAs When the Pre-mRNA Processing Machinery Is Limiting. Mol Cell 2017, 68(5):940-954 e943.[PMID: 29174924]
10. Vo JN et al: The Landscape of Circular RNA in Cancer. Cell 2019, 176(4):869-881 e813.[PMID: 30735636]
11. Vidal AF: Read-through circular RNAs reveal the plasticity of RNA processing mechanisms in human cells. RNA Biol 2020, 17(12):1823-1826.[PMID: 32783578]